Bảng công thức đạo hàm nguyên hàm cơ bản cần nhớ
Bảng công thức đạo hàm nguyên hàm cơ bản dưới đây giúp học sinh dễ ghi nhớ khi giải toán.
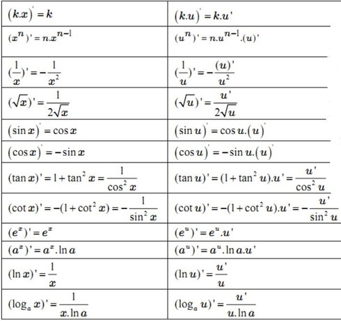
Bảng công thức đạo hàm cơ bản
![]() |
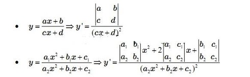
Hai hàm phân thức hữu tỉ thường gặp có đạo hàm là:
![]() |
Các quy tắc tính đạo hàm cơ bản:
![]() |
Quy tắc đạo hàm của hàm số hợp:
Nếu y = y(u(x)) thì y'(x) = y'(u) . u'(x).
Bảng nguyên hàm của những hàm số sơ cấp thường gặp
![]() |
Các công thức nguyên hàm mở rộng
![]() |
![]() |
L.N (tổng hợp)
Từ khóa: công thức đạo hàm nguyên hàm công thức đạo hàm công thức nguyên hàm công thức đạo hàm cơ bản công thức nguyên hàm tích phân
Gần 800 sinh viên được đào tạo chuyên ngành rau hoa quả và cảnh quan
Đây là thông tin được GS. TS Phạm Văn Cường, PGĐ Học viện Nông nghiệp Việt Nam thông tin tại Hội thảo quốc gia “Phát triển bền vững ngành Hoa, cây cảnh Việt Nam”.
Thanh niên hành động ngăn nạn buôn bán, giết mổ chó mèo
Với sự hiểu biết khi tham gia cuộc thi, thanh niên sẽ là cầu nối khuyến khích những người khác suy ngẫm về hậu quả của việc kinh doanh, vận chuyển và giết mổ thịt chó mèo.
Hơn 12.000 học sinh, sinh viên được đào tạo về công nghệ AI
Đến nay đã có hơn 12.000 học sinh, sinh viên đến từ 95 trường học tại 21 tỉnh thành trên cả nước được đào tạo về vạn vật kết nối, trí tuệ nhân tạo, dữ liệu lớn…
Tạo sân chơi cho học sinh ứng dụng kiến thức giáo dục STEM
Cuộc thi đem đến cho các em học sinh cơ hội ứng dụng kiến thức giáo dục STEM liên quan đến các lĩnh vực khoa học, công nghệ, kỹ thuật và toán học, nhằm nuôi dưỡng năng lực tiếp cận công nghệ giải quyết các vấn đề của xã hội.
Cô gái Nam Định vẽ tranh bằng 'đôi tay' đặc biệt, nuôi ước mơ thành họa sĩ
“Tôi không quyết định được hình hài mình sinh ra nhưng tôi có quyền chọn cách sống”, câu nói ấy đã trở thành động lực, giúp Thơm vượt qua giới hạn của cơ thể, dùng “đôi tay” đặc biệt vẽ lên cuộc đời đầy ý nghĩa.
'Học sinh toàn đạt danh hiệu khá, giỏi sao phải lo chuyện đi học thêm?'
Chuyên gia giáo dục Lê Đông Phương nêu nghịch lý: “Qua báo cáo tổng kết các năm học, đa số học sinh được xếp loại khá giỏi, số yếu kém chỉ chiếm rất ít, vậy tại sao xã hội, phụ huynh cứ phải lo chuyện học thêm, dạy thêm?”.
Thầy cô Học viện Nông nghiệp Việt Nam trổ tài gói bánh chưng
Từ ngày 12/1- 24/1, Học viện Nông nghiệp Việt Nam tổ chức Lễ hội Xuân, lễ hội gói bánh chưng và hội thi văn hóa ẩm thực truyền thống chào Xuân Ất Tỵ 2025.
Tử vong do tai nạn giao thông liên quan rượu bia: 6/10 người trong độ tuổi 15 - 29
Thống kê của Ủy ban An toàn giao thông quốc gia cho thấy cứ 10 nạn nhân tử vong do tai nạn giao thông liên quan đến sử dụng rượu bia thì có 6 người trong độ tuổi từ 15 đến 29.
Học viện nông nghiệp Việt Nam ra mắt câu lạc bộ hoa, cây cảnh sinh viên
Trong khuôn khổ Lễ hội Xuân 2025, tối 17/1, Học viện Nông nghiệp Việt Nam đã tổ chức ra mắt Câu lạc bộ hoa, cây cảnh sinh viên VNUA.
Ngành hoa cây cảnh Việt Nam, cơ hội cho người trẻ
Gần 45.000 ha trồng hoa, cây cảnh với sản lượng đạt hơn 45.000 tỷ đồng mỗi năm, kim ngạch xuất khẩu hoa vượt mốc 100 triệu USD, Việt Nam khẳng định vị thế trong ngành hoa cây cảnh khu vực và quốc tế.





