Tiếp tục nghi lọt đề thi Toán, Bộ GD-ĐT đã báo Bộ Công an
Chiều 28/6, khi các thí sinh đang trong thời gian làm bài thi môn Toán ở kỳ thi tốt nghiệp THPT đã xuất hiện nghi vấn đề thi môn Toán bị lọt ra ngoài.
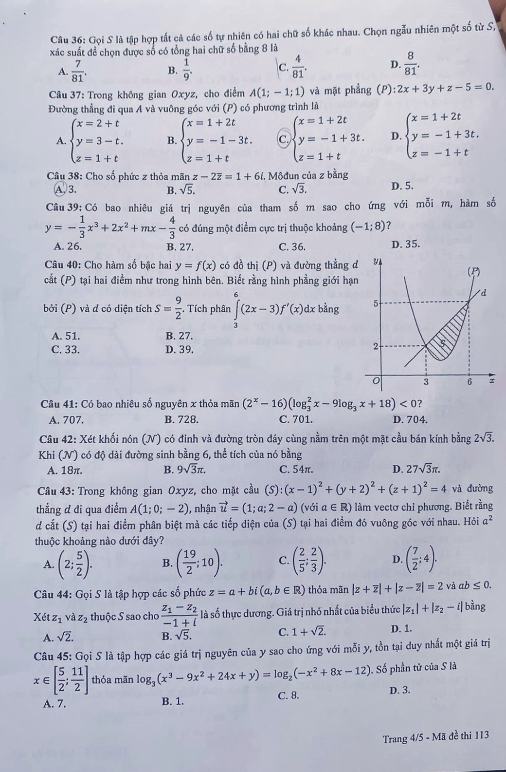
Theo thông tin phản ánh, hình ảnh đề thi được cho bị lộ ra là mã đề 113, đoạn từ câu 41 đến câu 45. Qua đối chiếu với mã đề 113 chính thức từ Bộ GD-ĐT sau khi kết thúc buổi thi, nội dung từ câu 41 đến 45 hoàn toàn trùng khớp với hình ảnh đề thi được cho là bị lộ.


Trao đổi với VietNamNet về nghi vấn lọt đề thi môn Toán, đại diện Bộ GD-ĐT cho hay, Ban Chỉ đạo thi đã nắm bắt thông tin và chuyển thông tin cho Cục An ninh chính trị nội bộ, Bộ Công an vào cuộc xác minh làm rõ, xử lý theo quy định. Song theo Bộ GD-ĐT, hiện thông tin này không ảnh hưởng đến kỳ thi.
Ngoài ra, về thông tin "câu nghị luận văn học trong đề thi môn Ngữ văn Kỳ thi tốt nghiệp THPT năm 2023 sử dụng ngữ liệu trùng với ngữ liệu đã được sử dụng trong đề thi thử tốt nghiệp của địa phương”, Bộ GD-ĐT cho hay, trước mắt, Ban Chỉ đạo thi nhận thấy việc đề thi sử dụng cùng một ngữ liệu là hoàn toàn bình thường. Sự khác nhau là cùng ngữ liệu đó nhưng mỗi đề thi có yêu cầu cụ thể khác nhau (phân tích, đánh giá, bình luận, nhận xét…).
Sáng 28/6, đề môn Văn cũng bị lọt ra ngoài từ sớm. Bộ GD-ĐT thừa nhận đề thi xuất hiện trên mạng khoảng 8h, tức chỉ 30 phút sau thời gian thí sinh bắt đầu làm bài.
Cụ thể, Bộ GD-ĐT cho biết về việc ảnh chụp đề thi tốt nghiệp THPT môn Ngữ văn xuất hiện trên mạng vào khoảng 8h ngày 28/6, Bộ đã nắm bắt thông tin và chuyển thông tin cho Cục An ninh chính trị nội bộ, Bộ Công an vào cuộc xác minh làm rõ. Nếu phát hiện trường hợp vi phạm sẽ xử lý nghiêm theo quy định.
Song Bộ GD-ĐT cho rằng, thông tin trên không ảnh hưởng đến kỳ thi bởi khả năng tương tác chỉ ở một thí sinh.
"Đến thời điểm này, Bộ GD-ĐT chưa ghi nhận có thông tin giải đề hoặc hướng dẫn giải đề từ bên ngoài vào phòng thi. Bộ GD-ĐT đề nghị các Hội đồng thi tiếp tục tăng cường phương án phòng ngừa thiết bị công nghệ cao để hạn chế tối đa việc có thể gian lận trong phòng thi, quản lý chặt chẽ đề thi theo quy định", thông báo của Bộ GD-ĐT cho hay.
Thanh Hùng