Những sai lầm cần tránh khi thi THPT quốc gia môn Toán
Vì thế, Toán được nhiều thí sinh đánh giá là “khó nuốt” nhất. Có rất nhiều thí sinh chăm chỉ học tập, làm tất cả các dạng bài tập nhưng khi đi thi điểm vẫn không cao. Bởi lẽ, khi làm bài thi hầu hết trong số đó các em đều bị mất điểm đáng tiếc ngay ở những câu dễ.
Kì thi THPT quốc gia đang tới gần, nhiều thí sinh tỏ ra băn khoăn, lo lắng trước môn thi Toán này. Đặc biệt, “sàn đấu” để dành cơ hội bước vào cánh cổng trường đại học ngày càng trở nên căng thẳng và quyết liệt hơn.
Vì thế, với kì thi này, từng điểm lẻ cũng rất quý giá, nó có thể quyết định kẻ thắng, người thua. Để giải quyết những băn khoăn của thí sinh, phóng viên báo Infonet đã có cuộc trò chuyện cùng thầy Nguyễn Bá Tuấn – Giảng viên trường ĐH Công nghiệp Hà Nội, người thầy dày dặn kinh nghiệm ôn thi THPT quốc gia.
![]() |
Thầy Nguyễn Bá Tuấn – Giảng viên trường ĐH Công nghiệp Hà Nội |
Kì thi THPT quốc gia đang tới gần, nhiều thí sinh tỏ ra “lo sợ” với môn Toán. Với vai trò là giáo viên kinh nghiệm nhiều năm ôn thi thầy suy nghĩ gì về điều này?
Đạt điểm 6-7 môn Toán không phải chuyện quá khó khăn với các em học sinh, đặc biệt là các em có học lực trung bình khá trở lên. Tuy nhiên, rất nhiều thí sinh chủ quan nên thường bị mất điểm ở những câu dễ. Không chỉ học sinh trung bình khá, kể cả các bạn có học lực khá giỏi vẫn thường mắc những lỗi này. Chỉ cần các thí sinh chú ý hơn một chút trong quá trình làm bài thì cơ hội đạt điểm cao môn Toán là điều chúng ta có thể nắm trong tầm tay.
Vậy xin thầy cho biết khi làm bài thi Toán, thí sinh cần lưu ý những gì?
Đối với câu hỏi hàm số và các câu hỏi liên quan, học sinh thường mắc những sai lầm sau: Thiếu kí hiệu gốc tọa độ, thiếu x, y, không chia độ; Vẽ đồ thị không có đối xứng, vẽ lơ lửng hay không xác định tọa độ các giao của đồ thị với hai trục một cách chính xác (đó là căn cứ để nhìn đồ thị trong khi chấm bài).
Ví dụ:
Đồ thị (1) sau đây mắc các lỗi như không đối xứng, thiếu kí hiệu y, kéo quá dài trục ở phần trên và tia đối Ox vẽ quá dài
Đồ thị (2) là đồ thị vẽ đúng:
![]() |
Ngoài ra, rất nhiều thí sinh tính đạo hàm sai hoặc tìm nghiệm của y’=0 bị nhầm; Tính toán các điểm cực trị cũng như các yếu tố trên bảng biến thiên bị sai (hoặc thay nhầm vào y’).
Bên cạnh đó cũng nhiều em xét dấu đạo hàm bị sai hoặc câu tìm giá trị lớn nhất nhỏ nhất quên không nói đến tính liên tục của hàm số (trên đoạn [a;b]).
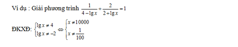
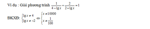
Với dạng bài tập về phương trình lượng giác; phương trình, bất phương trình, hệ phương trình, phương trình mũ logarit, học sinh thường mắc các lỗi đáng tiếc như sau:
Quên ĐKXĐ, giải sai ĐKXĐ (đặc biệt phương trình logarit dễ thiếu điều kiện). Đối với những bài ĐKXĐ phức tạp thay vì mất thời gian giải cụ thể thì học sinh chỉ cần viết điều kiện mà chưa cần giải ra ngay. Sau khi giải ra nghiệm của bài toán thì thử lại xem có thỏa mãn điều kiện không rồi kết luận.
![]() |
Lời giải trên là sai vì xét thiếu điều kiện; Không kết hợp ĐKXĐ để loại nghiệm; Liên hợp nhầm; Bình phương hai vế thiếu điều kiện, nhân chéo hai vế thiếu điều kiện;
![]() |
Với câu hỏi số phức: Học sinh thường dễ sai ở chỗ xác định phần thực, phần ảo nhưng ở phần ảo vẫn viết thêm đơn vị ảo là i; áp dụng nhầm định nghĩa. Nhiều học sinh tính ra z rồi nhưng lại không nhìn lại xem đề bài yêu cầu gì…
![]() |
Với câu hỏi xác suất tổ hợp, học sinh thường nhầm trong việc xác định không gian mẫu. Đặc biệt, khi xác định số phần tử của biến cố, học sinh thường gặp khó khăn khi xác định dùng tổ hợp hay chỉnh hợp.
Còn câu hỏi Nhị thức Newton, học sinh hay nhầm dấu khi tìm hệ số của x mũ k (phải chú ý biểu thức là tổng hay hiệu, nếu là hiệu thì dễ có hệ số mang dấu âm).
Về hình học không gian: Học sinh thường tính sai giá trị của thể tích, nhiều khi đến đáp số đúng rồi nhưng khi rút gọn lại bị nhầm dẫn đến mất điểm. Ví dụ trong hình sau:
![]() |
Ngoài ra, rất nhiều học sinh có thể ghi nhầm về số mũ tương ứng của thể tích và diện tích. Trong yêu cầu khoảng cách, học sinh dễ nhầm khi chuyển đỉnh để tính. Khi dùng phương pháp tọa độ hóa, học sinh hay dùng sai công thức hoặc tính toán nhầm (nhất là khi tích có hướng các vecto).
Thưa thầy, xin thầy hãy đưa ra một số lưu ý khi thí sinh làm bài thi môn Toán?
Với tất cả các môn thi các em luôn cần trình bày sạch sẽ, rõ ràng để tạo thiện cảm với giám khảo. Đặc thù bộ môn Toán sẽ xuất hiện nhiều chữ số và hình vẽ nên các thí sinh cần sắp sếp một cách có trật tự logic. Với các lỗi sai không nên tẩy xóa hay viết chen phần sửa chỉ cần gạch ngang, hoặc gạch chéo phần sai.
Khi làm dạng bài tập chứng minh lập luận cũng cần ngắn gọn, chính xác. Đặc biết, chỉ dùng bút chì khi vẽ đường tròn bằng compa và không được viết tắt.
Bên cạnh đó, thí sinh cũng cần cẩn trọng trong tính toán, đọc kỹ đề bài gạch chân các ý đề bài đã cho, không được chủ quan với các câu dễ. Phân bố thời gian hợp lí giữa các câu và cần cẩn trọng trong tính toán.
Xin cảm ơn sự chia sẻ từ thầy!





