Hà Nội: Đáp án đề thi thử môn Toán THPT quốc gia 2016

Sáng nay, học sinh THPT Hà Nội vừa thi thử môn Toán, chuẩn bị cho kỳ thi THPT quốc gia sắp diễn ra. Thời gian làm bài môn Toán là 180 phút với 10 câu.

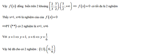
Sau đây là đáp án đề thi thử môn Toán THPT quốc gia 2016 do thầy Nguyễn Bá Tuấn (Giảng viên Đại học Công nghiệp Hà Nội) thực hiện:

Hà Nội: Đáp án đề thi thử môn Toán THPT quốc gia 2016 - ảnh 1
Hà Nội: Đáp án đề thi thử môn Toán THPT quốc gia 2016 - ảnh 2
Hà Nội: Đáp án đề thi thử môn Toán THPT quốc gia 2016 - ảnh 3
Hà Nội: Đáp án đề thi thử môn Toán THPT quốc gia 2016 - ảnh 4
Hà Nội: Đáp án đề thi thử môn Toán THPT quốc gia 2016 - ảnh 5
Hà Nội: Đáp án đề thi thử môn Toán THPT quốc gia 2016 - ảnh 6
Hà Nội: Đáp án đề thi thử môn Toán THPT quốc gia 2016 - ảnh 7
Hà Nội: Đáp án đề thi thử môn Toán THPT quốc gia 2016 - ảnh 8
Hà Nội: Đáp án đề thi thử môn Toán THPT quốc gia 2016 - ảnh 9
Hà Nội: Đáp án đề thi thử môn Toán THPT quốc gia 2016 - ảnh 10
Hà Nội: Đáp án đề thi thử môn Toán THPT quốc gia 2016 - ảnh 11
Hà Nội: Đáp án đề thi thử môn Toán THPT quốc gia 2016 - ảnh 12
Hà Nội: Đáp án đề thi thử môn Toán THPT quốc gia 2016 - ảnh 13

Cũng theo thầy Tuấn: “Đây là đề khá hay và bám sát cấu trúc đề THPT quốc gia năm 2015. Nó cũng đúng theo xu hướng ra đề mà trước đó Bộ GD&ĐT đã công bố.

Cụ thể, các câu được bố trí từ dễ đến khó: Từ câu 1 đến câu 5 đều hết sức cơ bản, câu 6 có nâng lên một chút và câu 6b có tính phân loại tốt. Đến câu 7 vẫn là câu truyền thống với 2 ý là tính thể tích và tính khoảng cách. Với câu này học sinh luôn có 2 phương án để làm là dùng hình học không gian cổ điển và phương pháp tọa độ hóa.

Các câu 8, 9, 10 có tính phân loại cao. Câu 8 không dễ phát hiện về mối liên hệ giữa các đường trong tam giác vuông, đây cũng là câu thể hiện sự sáng tạo của đề thi. Câu 9 tương đối hay với sự lồng ghép phương pháp đánh giá vào trong phương trình 1, sau khi thực hiện xong được biến đổi này thi bài toán trở về phương trình vô tỉ truyền thống với việc sử dụng phương pháp liên hợp. 

Câu này học sinh có thể làm theo nhiều cách. Câu 10 là câu đủ độ khó khi mà áp lực về thời gian cho các câu trước đó không hề nhỏ. Để phát hiện ra việc đánh giá yz cần có sự tinh tế và kinh nghiệm của học sinh. Đòi hỏi học sinh phải luyện tập rất nhiều để có kĩ năng xử lí nhanh câu này.

Nhìn chung, đây là đề hay và đi đúng xu hướng ra đề của Bộ GD&ĐT xứng đáng là một đề để phân loại học sinh và dùng để tuyển sinh vào các trường ĐH.

Tham dự cuộc thi này, một học sinh lớp 12D2 trường THPT Trần Phú cho hay: “Đề thi thử môn Toán THPT quốc gia hơi khó với sức của em.  Câu số 9 em chỉ là được một nửa còn câu 10 thì không là được. Với đề này khả năng em sẽ được 7 điểm. Tuy nhiên, cũng có nhiều bạn cùng phòng em làm rất nhanh, 2/3 thời gian đã nộp bài rồi”.

Hoàng Thanh

Giao lưu văn hóa sưu tập tem nhân dịp kỷ niệm Ngày sinh Bác Hồ

Chương trình Giao lưu văn hóa sưu tập tem sẽ giúp học sinh Trường THCS Thái Thịnh (Đống Đa, Hà Nội) thêm yêu quê hương đất nước, góp phần phát triển phong trào sưu tập tem trong trường học.

Nữ sinh Trường Newton và hành trình giành học bổng toàn phần đại học top đầu thế giới

Tháng Tư luôn là giai đoạn sôi động nhất của việc apply học bổng của các học sinh có khát vọng tìm kiếm những môi trường giáo dục lý tưởng trên phạm vi toàn cầu.

Kỷ nguyên chuyển đổi số và những định hướng cho con khi chuyển cấp

Vừa qua, Trường THCS- THPT Newton đã tổ chức hội thảo “Kỷ nguyên chuyển đổi số và những định hướng cho con khi chuyển cấp”.

Tuyển sinh 2022: Thí sinh trúng tuyển đại học xác nhận nhập học từ hôm nay

Từ hôm nay (18/9), Bộ GD&ĐT sẽ mở hệ thống để thí sinh xác nhận nhập học trực tuyến; hạn cuối xác nhận nhập học là 17h ngày 30/9/2022.

Sở GD-ĐT Hà Tĩnh triển khai phương án phòng, chống virut Corona

Sở GD-ĐT Hà Tĩnh vừa ban hành văn bản số 132/SGDĐT-CTTT gửi Trưởng phòng GD-ĐT các huyện, thị, thành phố; Thủ trưởng các đơn vị trực thuộc Sở; Giám đốc Trung tâm GDNN-GDTX cấp huyện về việc triển khai phòng, chống dịch bệnh do virut Corona gây ra.

Hải Phòng: Nhiều trường học "nhắc nhở" phụ huynh phòng chống vi rút Corona

Trong ngày 30, 31/1, nhiều trường học tại thành phố Hải Phòng đã có thông báo gửi đến phụ huynh, học sinh về việc triển khai các biện pháp phòng chống dịch viêm đường hô hấp cấp do vi rút Corona.

Dọn phòng, bố ngỡ ngàng phát hiện Bộ luật “phải tuân chỉ” của con trai lớp 5

Một học sinh lớp 5 (ở Thanh Hóa) đã tự đề ra bộ luật 21 điều “phải tuân chỉ” riêng cho bản thân khiến cha mẹ vô cùng ngỡ ngàng.

Diễn biến mới nhất vụ hàng chục học sinh ở Đắk Lắk mang "hàng nóng" đi hỗn chiến

Vụ hàng chục học sinh tham gia chuẩn bị đánh nhau tại Buôn Ma Thuột – Đắk Lắk đang khiến dư luận hết sức quan tâm. Tuy nhiên, các số liệu của nhà trường cung cấp cho báo chí và cơ quan chức năng đã "vênh" nhau một cách khó hiểu.

"Đề thi học sinh giỏi Văn lớp 9 của Hà Nội đưa ra yêu cầu hoàn toàn phi lí"

Đó là chia sẻ của TS. Trịnh Thu Tuyết – nguyên giáo viên trườn THPT Chu Văn An (Hà Nội) về đề thi học sinh giỏi môn Văn lớp 9 của Hà Nội.

Xã hội càng "trí tuệ nhân tạo" sẽ càng cần "nhân văn số"

Ở Việt Nam, rô-bốt đã làm thay chức năng của nhân viên trong thư viện. Như vậy, để thấy viễn cảnh rô-bốt thay thế hoàn toàn con người trong một số lĩnh vực kỹ thuật không còn xa nữa. Nhưng nói như vậy, không có nghĩa là rô-bốt có thể thay thế mọi lĩnh vực...

Đang cập nhật dữ liệu !