Gợi ý đáp án đề thi Toán kỳ thi THPT quốc gia 2018
Chiều nay (25/6), các thí sinh tham dự kỳ thi THPT Quốc gia tại 2.100 điểm thi trên toàn quốc đã hoàn thành môn thi Toán. Báo điện tử Infonet xin giới thiệu gợi ý đáp án đề thi Toán kỳ thi THPT quốc gia 2018 để phụ huynh và thí sinh tham khảo:
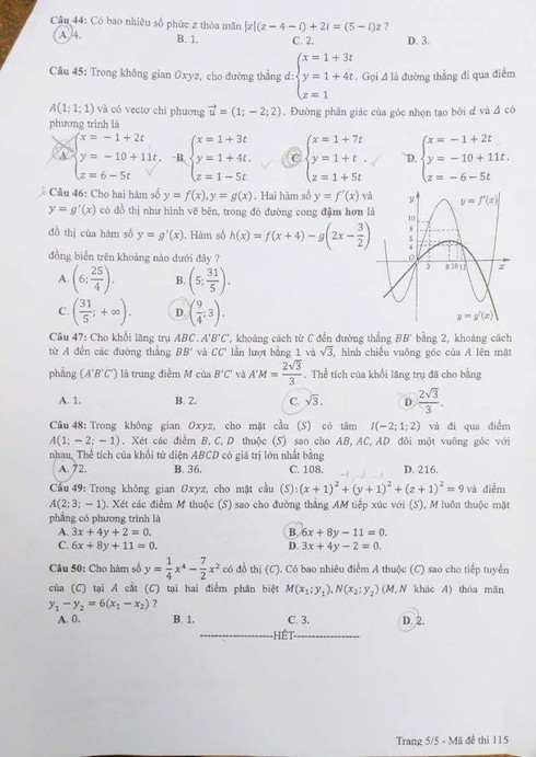
Báo điện tử Infonet xin giới thiệu gợi ý đáp án đề thi THPT Quốc gia 2018 môn Toán mã đề 115 do các giáo viên trong tổ Toán (Trung tâm HOCMAI) biên soạn:
![]() |
![]() |
![]() |
![]() |
![]() |
![]() |
Infonet đang tiếp tục cập nhật...
Hoàng Thanh
Giao lưu văn hóa sưu tập tem nhân dịp kỷ niệm Ngày sinh Bác Hồ
Chương trình Giao lưu văn hóa sưu tập tem sẽ giúp học sinh Trường THCS Thái Thịnh (Đống Đa, Hà Nội) thêm yêu quê hương đất nước, góp phần phát triển phong trào sưu tập tem trong trường học.
Nữ sinh Trường Newton và hành trình giành học bổng toàn phần đại học top đầu thế giới
Tháng Tư luôn là giai đoạn sôi động nhất của việc apply học bổng của các học sinh có khát vọng tìm kiếm những môi trường giáo dục lý tưởng trên phạm vi toàn cầu.
Kỷ nguyên chuyển đổi số và những định hướng cho con khi chuyển cấp
Vừa qua, Trường THCS- THPT Newton đã tổ chức hội thảo “Kỷ nguyên chuyển đổi số và những định hướng cho con khi chuyển cấp”.
Tuyển sinh 2022: Thí sinh trúng tuyển đại học xác nhận nhập học từ hôm nay
Từ hôm nay (18/9), Bộ GD&ĐT sẽ mở hệ thống để thí sinh xác nhận nhập học trực tuyến; hạn cuối xác nhận nhập học là 17h ngày 30/9/2022.
Sở GD-ĐT Hà Tĩnh triển khai phương án phòng, chống virut Corona
Sở GD-ĐT Hà Tĩnh vừa ban hành văn bản số 132/SGDĐT-CTTT gửi Trưởng phòng GD-ĐT các huyện, thị, thành phố; Thủ trưởng các đơn vị trực thuộc Sở; Giám đốc Trung tâm GDNN-GDTX cấp huyện về việc triển khai phòng, chống dịch bệnh do virut Corona gây ra.
Hải Phòng: Nhiều trường học "nhắc nhở" phụ huynh phòng chống vi rút Corona
Trong ngày 30, 31/1, nhiều trường học tại thành phố Hải Phòng đã có thông báo gửi đến phụ huynh, học sinh về việc triển khai các biện pháp phòng chống dịch viêm đường hô hấp cấp do vi rút Corona.
Dọn phòng, bố ngỡ ngàng phát hiện Bộ luật “phải tuân chỉ” của con trai lớp 5
Một học sinh lớp 5 (ở Thanh Hóa) đã tự đề ra bộ luật 21 điều “phải tuân chỉ” riêng cho bản thân khiến cha mẹ vô cùng ngỡ ngàng.
Diễn biến mới nhất vụ hàng chục học sinh ở Đắk Lắk mang "hàng nóng" đi hỗn chiến
Vụ hàng chục học sinh tham gia chuẩn bị đánh nhau tại Buôn Ma Thuột – Đắk Lắk đang khiến dư luận hết sức quan tâm. Tuy nhiên, các số liệu của nhà trường cung cấp cho báo chí và cơ quan chức năng đã "vênh" nhau một cách khó hiểu.
"Đề thi học sinh giỏi Văn lớp 9 của Hà Nội đưa ra yêu cầu hoàn toàn phi lí"
Đó là chia sẻ của TS. Trịnh Thu Tuyết – nguyên giáo viên trườn THPT Chu Văn An (Hà Nội) về đề thi học sinh giỏi môn Văn lớp 9 của Hà Nội.
Xã hội càng "trí tuệ nhân tạo" sẽ càng cần "nhân văn số"
Ở Việt Nam, rô-bốt đã làm thay chức năng của nhân viên trong thư viện. Như vậy, để thấy viễn cảnh rô-bốt thay thế hoàn toàn con người trong một số lĩnh vực kỹ thuật không còn xa nữa. Nhưng nói như vậy, không có nghĩa là rô-bốt có thể thay thế mọi lĩnh vực...





