58 bài thi bị 0 tăng điểm sau phúc khảo, mức cao nhất lên 8,75
Nhiều bài thi tăng từ 0 lên mức từ 7 tới 8,5 điểm.
Sở GD-ĐT Tây Ninh vừa công bố kết quả chấm phúc khảo, thi THPT quốc gia 2019. Theo đó có 95 bài thi thay đổi điểm sau khi phúc khảo và đều tăng.
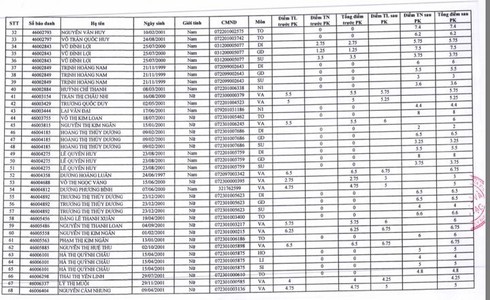
Ở các môn thi trắc nghiệm, có 58 bài thi bị điểm 0, đều tăng sau phúc khảo. Bài tăng điểm nhiều nhất là 0 lên 8,75; Bài tăng điểm ít nhất từ 0 lên 2. Có rất nhiều bài thi tăng điểm từ 0 lên 7; 7,2; 7,5 sau phúc khảo.
Những thí sinh có bài thi tăng điểm nhiều nhất:
Lê Quang Kỳ, điểm phúc khảo môn Vật lý tăng từ 0 lên 8,5.
Nguyễn Thị Thu Thảo điểm phúc khảo môn Giáo dục công dân từ 0 lên 8.
Lê Quang Huy điểm phúc khảo môn Giáo dục công dân từ 0 lên 8.
Nguyễn Thị Kim Thoa điểm phúc khảo môn Giáo dục công dân từ 0 lên 8,75.
Trong số 58 bài thi bị điểm 0, bài tăng điểm ít nhất lên 2.
Ngoài số bài thi bị điểm 0, có 4 bài thi trắc nghiệm khác cũng tăng điểm phúc khảo, trong đó bài thi tăng nhiều nhất là môn Giáo dục công dân từ 1,25 lên 7,5.
Ở môn tự luận (Ngữ văn) có 33 bài thi thay tăng điểm sau phúc khảo. Mức tăng chủ yếu từ 0,25 đến 0,75 điểm. Bài tăng điểm nhiều nhất chênh lệch 1,75.
Trước đó, khi công bố kết quả thi THPT quốc gia 2019, Sở GD-ĐT Tây Ninh đã phát hiện 34 trường hợp bị điểm 0 ở các bài thi môn thi trắc nghiệm gồm Toán 13 bài, Tiếng Anh 9 bài; tổ hợp bài thi Khoa học tự nhiên 4 bài và Khoa học xã hội 8 bài.
Một đại diện của Sở GD-ĐT, cho hay việc hàng loạt bài thi trắc nghiệm bị điểm 0 là điều "bất thường", vì không thể có chuyện một thí sinh thi tổ hợp ba môn mà không làm được bất kỳ câu hỏi nào. Đặc biệt khi tìm hiểu, trong số thí sinh bị điểm 0 có những em học giỏi.
Đơn vị chấm thi trắc nghiệm tại Tây Ninh là Trường ĐH Công nghệ Đồng Nai cũng xác nhận đã phát hiện sự cố khi chấm thi và báo cáo với Bộ GD-ĐT để xử lý.
Ở các môn thi trắc nghiệm, có 58 bài thi bị điểm 0, đều tăng sau phúc khảo. Bài tăng điểm nhiều nhất là 0 lên 8,75; Bài tăng điểm ít nhất từ 0 lên 2. Có rất nhiều bài thi tăng điểm từ 0 lên 7; 7,2; 7,5 sau phúc khảo.
Những thí sinh có bài thi tăng điểm nhiều nhất:
Lê Quang Kỳ, điểm phúc khảo môn Vật lý tăng từ 0 lên 8,5.
Nguyễn Thị Thu Thảo điểm phúc khảo môn Giáo dục công dân từ 0 lên 8.
Lê Quang Huy điểm phúc khảo môn Giáo dục công dân từ 0 lên 8.
Nguyễn Thị Kim Thoa điểm phúc khảo môn Giáo dục công dân từ 0 lên 8,75.
Trong số 58 bài thi bị điểm 0, bài tăng điểm ít nhất lên 2.
Ngoài số bài thi bị điểm 0, có 4 bài thi trắc nghiệm khác cũng tăng điểm phúc khảo, trong đó bài thi tăng nhiều nhất là môn Giáo dục công dân từ 1,25 lên 7,5.
Ở môn tự luận (Ngữ văn) có 33 bài thi thay tăng điểm sau phúc khảo. Mức tăng chủ yếu từ 0,25 đến 0,75 điểm. Bài tăng điểm nhiều nhất chênh lệch 1,75.
![]() |
(Ảnh: Lê Huyền chụp lại) |
![]() |
(Ảnh: Lê Huyền chụp lại) |
![]() |
(Ảnh: Lê Huyền chụp lại) |
Trước đó, khi công bố kết quả thi THPT quốc gia 2019, Sở GD-ĐT Tây Ninh đã phát hiện 34 trường hợp bị điểm 0 ở các bài thi môn thi trắc nghiệm gồm Toán 13 bài, Tiếng Anh 9 bài; tổ hợp bài thi Khoa học tự nhiên 4 bài và Khoa học xã hội 8 bài.
Một đại diện của Sở GD-ĐT, cho hay việc hàng loạt bài thi trắc nghiệm bị điểm 0 là điều "bất thường", vì không thể có chuyện một thí sinh thi tổ hợp ba môn mà không làm được bất kỳ câu hỏi nào. Đặc biệt khi tìm hiểu, trong số thí sinh bị điểm 0 có những em học giỏi.
Đơn vị chấm thi trắc nghiệm tại Tây Ninh là Trường ĐH Công nghệ Đồng Nai cũng xác nhận đã phát hiện sự cố khi chấm thi và báo cáo với Bộ GD-ĐT để xử lý.
Lê Huyền
Gần 800 sinh viên được đào tạo chuyên ngành rau hoa quả và cảnh quan
Đây là thông tin được GS. TS Phạm Văn Cường, PGĐ Học viện Nông nghiệp Việt Nam thông tin tại Hội thảo quốc gia “Phát triển bền vững ngành Hoa, cây cảnh Việt Nam”.
Thanh niên hành động ngăn nạn buôn bán, giết mổ chó mèo
Với sự hiểu biết khi tham gia cuộc thi, thanh niên sẽ là cầu nối khuyến khích những người khác suy ngẫm về hậu quả của việc kinh doanh, vận chuyển và giết mổ thịt chó mèo.
Hơn 12.000 học sinh, sinh viên được đào tạo về công nghệ AI
Đến nay đã có hơn 12.000 học sinh, sinh viên đến từ 95 trường học tại 21 tỉnh thành trên cả nước được đào tạo về vạn vật kết nối, trí tuệ nhân tạo, dữ liệu lớn…
Tạo sân chơi cho học sinh ứng dụng kiến thức giáo dục STEM
Cuộc thi đem đến cho các em học sinh cơ hội ứng dụng kiến thức giáo dục STEM liên quan đến các lĩnh vực khoa học, công nghệ, kỹ thuật và toán học, nhằm nuôi dưỡng năng lực tiếp cận công nghệ giải quyết các vấn đề của xã hội.
Cô gái Nam Định vẽ tranh bằng 'đôi tay' đặc biệt, nuôi ước mơ thành họa sĩ
“Tôi không quyết định được hình hài mình sinh ra nhưng tôi có quyền chọn cách sống”, câu nói ấy đã trở thành động lực, giúp Thơm vượt qua giới hạn của cơ thể, dùng “đôi tay” đặc biệt vẽ lên cuộc đời đầy ý nghĩa.
'Học sinh toàn đạt danh hiệu khá, giỏi sao phải lo chuyện đi học thêm?'
Chuyên gia giáo dục Lê Đông Phương nêu nghịch lý: “Qua báo cáo tổng kết các năm học, đa số học sinh được xếp loại khá giỏi, số yếu kém chỉ chiếm rất ít, vậy tại sao xã hội, phụ huynh cứ phải lo chuyện học thêm, dạy thêm?”.
Thầy cô Học viện Nông nghiệp Việt Nam trổ tài gói bánh chưng
Từ ngày 12/1- 24/1, Học viện Nông nghiệp Việt Nam tổ chức Lễ hội Xuân, lễ hội gói bánh chưng và hội thi văn hóa ẩm thực truyền thống chào Xuân Ất Tỵ 2025.
Tử vong do tai nạn giao thông liên quan rượu bia: 6/10 người trong độ tuổi 15 - 29
Thống kê của Ủy ban An toàn giao thông quốc gia cho thấy cứ 10 nạn nhân tử vong do tai nạn giao thông liên quan đến sử dụng rượu bia thì có 6 người trong độ tuổi từ 15 đến 29.
Học viện nông nghiệp Việt Nam ra mắt câu lạc bộ hoa, cây cảnh sinh viên
Trong khuôn khổ Lễ hội Xuân 2025, tối 17/1, Học viện Nông nghiệp Việt Nam đã tổ chức ra mắt Câu lạc bộ hoa, cây cảnh sinh viên VNUA.
Ngành hoa cây cảnh Việt Nam, cơ hội cho người trẻ
Gần 45.000 ha trồng hoa, cây cảnh với sản lượng đạt hơn 45.000 tỷ đồng mỗi năm, kim ngạch xuất khẩu hoa vượt mốc 100 triệu USD, Việt Nam khẳng định vị thế trong ngành hoa cây cảnh khu vực và quốc tế.


