Triều Tiên có thực đã phóng tên lửa ICBM để “chào mừng” Quốc khánh Mỹ?
Đã có rất nhiều chuyên gia và tổ chức nghiên cứu bày tỏ nghi ngờ về độ xác thực đối với tuyên bố của Triều Tiên. Cụ thể, hai nhà nghiên cứu Ravel Savelsberg và James Kiessling đã tiến hành phân tích loại tên lửa mà Triều Tiên đang có trong tay, trong đó gồm có Hwasong-14 và Unha. Trong hình dưới đây, bề ngoài của tên lửa Hwasong-14 được so sánh với các loại ICBM khác.
![]() |
Kích cỡ của tên lửa Unha, Hwasong-14 của Triều Tiên và tên lửa Titan III của Mỹ. |
Kích cỡ của một loại tên lửa là một trong những dấu hiệu để xác định chủng loại của chúng. Ông Savelsberg đã nhận định rằng Hwasong-14 không hẳn là một ICBM và thiếu những tính năng mà một ICBM thường có. Nó quá nhỏ và không thể mang đầu đạn nặng, và ông tin rằng nó sẽ không thể đe dọa lãnh thổ nước Mỹ. Mặc dù tầm bắn của tên lửa vẫn có thể đạt mức 5.500km khi được trang bị đầu đạn nhẹ, song điều này đồng nghĩa với việc nó không thể gây ra tổn hại lớn.
Trong khi đó, tên lửa Unha cũng là loại vũ khí mà hai chuyên gia này xem xét. Unha được cho là đã đưa vệ tinh Triều Tiên vào không gian hai lần, trong các năm 2012 và 2016. Nó là tên lửa có công suất lớn nhất và tốc độ cao nhất của Triều Tiên, vì vậy nhiều khả năng nó sẽ được ứng dụng hoặc là nền tảng để chế tạo ICBM.
Nếu được cải tạo thành tên lửa đạn đạo, chắc chắn nó sẽ phải có hầm phóng tên lửa bởi kích thước của nó quá lớn sẽ không thể đặt trên một dàn phóng di động. Tên lửa có ba tầng riêng biệt, sau khi đạt được độ cao nhất định các tầng này sẽ tự động tách ra. Dựa trên những phần của tên lửa được Hải quân Hàn Quốc tìm thấy trên biển, có thể thấy rằng tầng thấp nhất của tên lửa được lắp đặt 4 động cơ phản lực cùng bốn động cơ nhỏ ở hai bên để điều chỉnh hướng bay. Đường bay của tên lửa được mô tả trong lược đồ ở dưới.
![]() |
Đường bay của tên lửa ICBM cải tạo từ Unha |
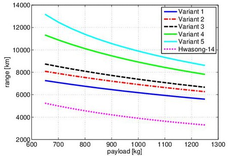
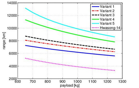
Các nhà nghiên cứu đã cùng nhau nghiên cứu và đưa ra 5 mô hình tên lửa hai tầng khác nhau chạy trên chương trình giả lập, tất cả đều có tầng một giống với Unha. Mô hình 1 có tầng 2 mang động cơ được lắp đặt trên tên lửa R-17 (tương tự với Unha), mô hình 2 có tầng hai mang động cơ thường thấy ở tên lửa Nodong của Triều Tiên. Mô hình 3,4 và 5 sẽ mang các động cơ lần lượt dành cho tên lửa Hwasong-10 (Musudan), R-27 và Hwasong-12. Hình bên dưới là biểu đồ cho thấy tầm bắn của từng mô hình sau khi được chạy giả lập.
![]() |
Biểu đồ tầm bắn của các mô hình tên lửa khác nhau. |
Có thể thấy rằng, các mô hình đều có tầm bắn vượt trên 5.500km, ngưỡng mà một tên lửa được xác định là ICBM. Tuy nhiên chỉ có các mô hình 3, 4 và 5 là có thể đe dọa đến vùng lãnh thổ nước Mỹ. Lấy khoảng cách từ thủ đô Bình Nhưỡng tới thành phố Seattle của Mỹ (khoảng 8.000km) làm chuẩn, ta thấy mô hình 5 với động cơ của Hwasong-12 có tầm bắn trên 13.000km khi được trang bị đầu đạn có tải trọng 650kg. Mô hình 3 với động cơ Hwasong-10 vẫn đạt tầm bắn tối đa là 8.700km với cùng đầu đạn.
Nếu tên lửa Triều Tiên được phóng về hướng Đông Bắc để tận dụng vòng quay của Trái Đất, tầm bắn của các loại tên lửa này cũng được nâng lên đáng kể. Hình dưới đây cho thấy tầm bắn tối đa của mô hình 3 với đầu đạn nặng 650kg, cùng mô hình 5 với đầu đạn 800 và 1.100kg. Có thể thấy rằng, mô hình 5 có khả năng bắn tới thành phố Miami (Mỹ) với đầu đạn 800kg mà không cần sử dụng thiết bị nâng cao tầm bắn. Nếu được trang bị thiết bị nâng cao tầm bắn PBV, mô hình 5 có thể bắn tới gần vùng biển phía Đông nước Mỹ với đầu đạn 1.100kg.
![]() |
Triều Tiên hoàn toàn có thể chế tạo tên lửa có thể bắn tới Mỹ. |
Hiện tại, Triều Tiên đang thử chất liệu chống nhiệt bằng cách dùng động cơ tên lửa thổi lửa vào mẫu vật thí nghiệm. Hiện tại, các cuộc thử nghiệm của Triều Tiên được cho là có những kết quả khả quan, song các chuyên gia cho rằng điều này không có nghĩa là Triều Tiên có thể sản xuất được một bộ khung cách nhiệt đủ sức để tên lửa nước này từ không gian quay trở lại mặt đất một cách hiệu quả.
Các nhà khoa học thuộc chương trình Hệ thống Hồi quyển của Tên lửa đạn đạo Hiện đại (ABRES) của Mỹ đã cho phóng thử nhiều mẫu thiết bị thử nghiệm và thu được rất nhiều thông tin quan trọng trong nhiều thập kỷ để đảm bảo tên lửa có thể sống sót sau khi từ tầng khí quyển trở về mặt đất. Nếu Triều Tiên không tiến hành các hoạt động bay thử tương tự như Mỹ, các chất liệu mà họ sản xuất sẽ không đạt được hiệu quả như họ mong muốn.
Bên cạnh đó, Triều Tiên cũng chưa thể chế tạo một hệ thống định vị đủ chính xác để ngắm bắn các thành phố lớn. Phần lớn các tên lửa của Triều Tiên đều dựa trên tên lửa Scud của Liên Xô, điều này có nghĩa là nếu tên lửa Triều Tiên có tầm bắn 9.000km, rất nhiều trong số này sẽ rơi ở vị trí cách mục tiêu đã định hơn 30km. Triều Tiên sẽ cần các công nghệ định hướng hiện đại để có thể lắp đặt lên các tên lửa ICBM trong tương lai.
Sau cùng, hai chuyên gia người Mỹ cho biết, với những bằng chứng thu được, Triều Tiên đã có thể chế tạo một loại tên lửa ICBM phóng từ xilô dựa trên thành quả từ các lần phóng thử tên lửa đã xảy ra. Tuy nhiên, nguy hiểm từ các loại tên lửa Triều Tiên hiện nay vẫn chưa lớn, bởi họ vẫn chưa giải quyết được vấn đề bảo vệ tên lửa khi từ bầu khí quyển trở lại, cũng như chưa có hệ thống định hướng phù hợp để tăng độ chính xác cho tên lửa.



